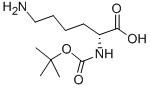
R13203 | 106719-44-2 | Boc-D-Lys-OH
- 詳細(xì)描述
- 資料下載
|
中文名稱: |
N-(叔丁氧羰基)-D-賴氨酸 |
|
中文同義詞: |
N-(叔丁氧羰基)-D-賴氨酸;NΑ-(叔丁氧基羰基)-D-賴氨酸;NΑ-BOC-D-賴氨酸;N2-(叔丁氧羰基)-D-賴氨酸;NALPHA-BOC-D-賴氨酸 |
|
英文名稱: |
BOC-D-LYS-OH |
|
英文同義詞: |
BOC-D-LYSINE;BOC-D-LYS-OH;N-ALPHA-T-BUTOXYCARBONYL-D-LYSINE;N-ALPHA-T-BUTYLOXYCARBONYL-D-LYSINE;N-ALPHA-TERT-BUTYLOXYCARBONYL-D-LYSINE;N-α-Boc-D-lysine;NALPHA-tert-Butoxycarbonyl-D-lysine;N-.ALPHA.-BOC-D-LYSINE |
|
CAS號(hào): |
106719-44-2 |
|
分子式: |
C11H22N2O4 |
|
分子量: |
246.3 |





南京肽業(yè)生物科技有限公司
地址:
Email: info@njpeptide.com
總機(jī):025-58361106-801
