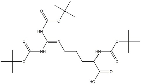
R10964|108787-91-3|Boc-Arg(Boc)2-OH(symmetrical)
- 詳細(xì)描述
- 資料下載
R10964|108787-91-3|Boc-Arg(Boc)2-OH(symmetrical)
|
中文名稱: |
|
|
中文同義詞: |
|
|
英文名稱: |
(Tert-Butoxy)Carbonyl Arg(Boc)2-OH (Symmetrical) |
|
英文同義詞: |
(2S)-5-{[bis({[(tert-butoxy)carbonyl]amino})methylidene]amino}-2-{[(tert-butoxy)carbonyl]amino}pentanoic acid;(Tert-Butoxy)Carbonyl Arg(Boc)2-OH;(Tert-Butoxy)Carbonyl Arg(Boc)2-OH (Symmetrical);Boc-Arg(Boc)2-OH (Symmetrical);N5-[Bis[[(1,1-dimethylethoxy)carbonyl]amino]methylene]-N2-[(1,1-dimethylethoxy)carbonyl]-L-ornithine |
|
CAS號(hào): |
108787-91-3 |
|
分子式: |
|
|
分子量: |
0 |





南京肽業(yè)生物科技有限公司
地址:
Email: info@njpeptide.com
總機(jī):025-58361106-801
