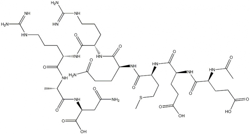
Pep02041|SNAP-8|乙?;穗?1|868844-74-0
- 詳細(xì)描述
- 資料下載
Pep02041|SNAP-8|乙?;穗?1|868844-74-0
|
中文名稱: |
|
|
中文同義詞: |
乙酰八勝肽-1;乙酰八肽;乙?;劝滨;穗?/span>-3;八勝肽;抗皺寡肽/乙酰谷氨酰七勝肽-3;乙酰八勝肽 |
|
英文名稱: |
SNAP-8 |
|
英文同義詞: |
N-Acetyl-L-alpha-glutamyl-L-alpha-glutamyl-L-methionyl-L-glutaminyl-L-arginyl-L-arginyl-L-alanyl-L-alpha-asparagine;SNAP-8(Acetyl Glutamyl Heptapeptide-3);Acetyl GlutaMyl Heptapeptide-3;Acetyl GlutaMyl Octapeptide-3 |
|
CAS號(hào): |
|
|
分子式: |
C41H70N16O16S |
|
分子量: |
1075.16 |





南京肽業(yè)生物科技有限公司
地址:
Email: info@njpeptide.com
總機(jī):025-58361106-801
