Pep10933 | Acetyl-(Asn30,Tyr32)-Calcitonin (8-32) (salmon I) | 151804-77-2
- 詳細(xì)描述
- 資料下載
Pep10933 | Acetyl-(Asn30,Tyr32)-Calcitonin (8-32) (salmon I) | 151804-77-2
|
貨號(hào) |
Pep10933 |
|
名稱(chēng) |
Acetyl-(Asn30,Tyr32)-Calcitonin (8-32) (salmon I) |
|
中文其他名稱(chēng) |
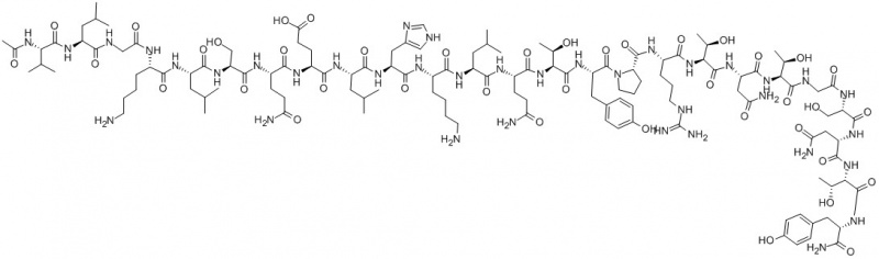
AC-VAL-LEU-GLY-LYS-LEU-SER-GLN-GLU-LEU-HIS-LYS-LEU-GLN-THR-TYR-PRO-ARG-THR-ASN-THR-GLY-SER-ASN-THR-TYR-NH2 |
|
英 文其他名稱(chēng) |
ACETYL-(ASN30,TYR32)-CALCITONIN (8-32) (SALMON I);ACETYL-VAL-LEU-GLY-LYS-LEU-SER-GLN-GLU-LEU-HIS-LYS-LEU-GLN-THR-TYR-PRO-ARG-THR-ASN-THR-GLY-SER-ASN-THR-TYR-NH2;AC-(ASN30,TYR32)-CALCITONIN (8-32) (SALMON I);AC187;ACETYL-[ASN30 TYR32]-CALCITONIN FRAGMENT;Acetyl-(Asn30,Tyr32)-Calcitonin (8-32) (salMon I) AC187 |
|
CAS No. |
151804-77-2 |
|
單字母序列 |
Ac-VLGKLSQELHKLQTYPRTNTGSNTY-NH2 |
|
三字母序列 |
Ac-Val-Leu-Gly-Lys-Leu-Ser-Gln-Glu-Leu-His-Lys-Leu-Gln-Thr-Tyr-Pro-Arg-Thr-Asn-Thr-Gly-Ser-Asn-Thr-Tyr-NH2 | Ac-Val-Leu-Gly-Lys-Leu-Ser-Gln-Glu-Leu-His-Lys-Leu-Gln-Thr-Tyr-Pro-Arg-Thr-Asn-Thr-Gly-Ser-Asn-Thr-Tyr-NH2 |





南京肽業(yè)生物科技有限公司
地址:
Email: info@njpeptide.com
總機(jī):025-58361106-801
