Pep13012 | Neuropeptide Y (1-24) amide (human, rat) | 131448-51-6
- 詳細描述
- 資料下載
Pep13012 | Neuropeptide Y (1-24) amide (human, rat) | 131448-51-6
|
貨號 |
Pep13012 |
名稱 |
Neuropeptide Y (1-24) amide (human, rat) |
|
中文其他名稱 |
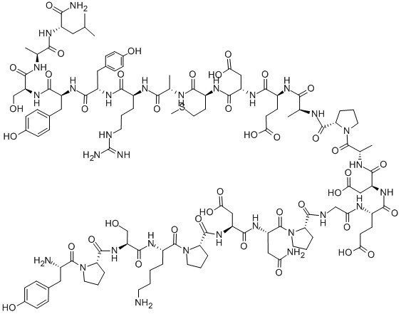
SER-LYS-PRO-ASP-ASN-PRO-GLY-GLU-ASP-ALA-PRO-ALA-GLU-ASP-MET-ALA-ARG-TYR-TYR-SER-ALA-LEU-ARG-HIS-TYR-ILE-ASN-LEU-ILE-THR-ARG-GLN-ARG-TYR-NH2: SKPDNPGEDAPAEDMARYYSALRHYINLITRQRY-NH2 |
|
英文其他名稱 |
NPY (1-24) AMIDE (HUMAN, RAT);NPY (1-24) (HUMAN);NEUROPEPTIDE Y FRAGMENT 1-24 AMIDE HUMAN;NEUROPEPTIDE Y (1-24) AMIDE, HUMAN;NEUROPEPTIDE Y (1-24) AMIDE (HUMAN, RAT);NEUROPEPTIDE Y (1-24) (HUMAN);YPSKPDNPGEDAPAEDMARYYSAL-NH2;TYR-PRO-SER-LYS-PRO-ASP-ASN-PRO-GLY-GLU-ASP-ALA-PRO-ALA-GLU-ASP-MET-ALA-ARG-TYR-TYR-SER-ALA-LEU-NH2 |
|
CAS No. |
131448-51-6 |
|
單字母序列 |
YPSKPDNPGEDAPAEDMARYY SAL-NH2 |
|
三字母序列 |
Tyr-Pro-Ser-Lys-Pro-Asp-Asn-Pro-Gly-Glu-Asp-Ala-Pro-Ala-Glu-Asp- Met-Ala-Arg-Tyr-Tyr-Ser-Ala-Leu-NH2 | H-Tyr-Pro-Ser-Lys-Pro-Asp-Asn-Pro- Gly-Glu-Asp-Ala-Pro-Ala-Glu -Asp-Met-Ala-Arg-Tyr-Tyr-Ser-Ala-Leu-NH2 |





南京肽業(yè)生物科技有限公司
地址:
Email: info@njpeptide.com
總機:025-58361106-801
