Pep10323 | (Sar1,Tyr(Me)4)-Angiotensin II | 88874-29-7
- 詳細(xì)描述
- 資料下載
Pep10323 | (Sar1,Tyr(Me)4)-Angiotensin II | 88874-29-7
|
貨號 |
Pep10323 |
|
名稱 |
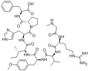
(Sar1,Tyr(Me)4)-Angiotensin II |
|
英 文其他名稱 |
angiotensin II, Sar(1)-Me-Tyr(4)-;(Sar1,Tyr(Me)4)-Angiotensin II SarMesin |
|
CAS No. |
88874-29-7 |
|
單字母序列 |
Sar--RVY(Me)IHPF |
|
三字母序列 |
Sar-Arg-Val-Tyr(Me)-Ile-His-Pro-Phe | Sar-Arg-Val-Tyr(Me)-Ile-His-Pro-Phe-OH |





南京肽業(yè)生物科技有限公司
地址:
Email: info@njpeptide.com
總機(jī):025-58361106-801
