Pep13728 | Tyr-Somatostatin-28 | 86649-84-5
- 詳細(xì)描述
- 資料下載
Pep13728 | Tyr-Somatostatin-28 | 86649-84-5
|
貨號(hào) |
Pep13728 |
|
名稱 |
Tyr-Somatostatin-28 |
|
其他名稱 |
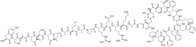
TYR-SER-ALA-ASN-SER-ASN-PRO-ALA-MET-ALA-PRO-ARG-GLU-ARG-LYS-ALA-GLY-CYS-LYS-ASN-PHE-PHE-TRP-LYS-THR-PHE-THR-SER-CYS TYR-SER-ALA-ASN-SER-ASN-PRO-ALA-MET-ALA-PRO-ARG-GLU-ARG-LYS-ALA-GLY-CYS-LYS-ASN-PHE-PHE-TRP-LYS-THR-PHE-THR-SER-CYS (DISULFIDE BRIDGE: CYS18-CYS29)
H-TYR-SER-ALA-ASN-SER-ASN-PRO-ALA-MET-ALA-PRO-ARG-GLU-ARG-LYS-ALA-GLY-CYS-LYS-ASN-PHE-PHE-TRP-LYS-THR-PHE-THR-SER-CYS-OH H-TYR-SER-ALA-ASN-SER-ASN-PRO-ALA-MET-ALA-PRO-ARG-GLU-ARG-LYS-ALA-GLY-CYS-LYS-ASN-PHE-PHE-TRP-LYS-THR-PHE-THR-SER-CYS-OH (DISULFIDE BRIDGE: 18-29) [TYR0] SOMATOSTATIN (1-28) [TYR0]-SOMATOSTATIN 28 [TYR0]-SOMATOSTATIN 28, CYCLIC TYR-SER-ALA-ASN-SER-ASN-PRO-ALA-MET-ALA-PRO-ARG-GLU-ARG-LYS-ALA-GLY-CYS-LYS-ASN-PHE-PHE-TRP-LYS-THR-PHE-THR-SER-CYS TYR-SOMATOSTATIN-28 YSANSNPAMAPRERKAGCKNFFWKTFTSC (DISULFIDE BRIDGE: 18-29) somatostatin 28 [Tyr] Tyr-Ser-Ala-Asn-Ser-Asn-Pro-Ala-Met-Ala-Pro-Arg-Glu-Arg-Lys-Ala-Gly-Cys-Lys-Asn-Phe-Phe-Trp-Lys-Thr-Phe-Thr-Ser-Cys (Disulfide bridge Cys17-Cys28) H-Tyr-Ser-Ala-Asn-Ser-Asn-Pro-Ala-Met-Ala-Pro-Arg-Glu-Arg-Lys-Ala-Gly-Cys-Lys-Asn-Phe-Phe-Trp-Lys-Thr-Phe-Thr-Ser-Cys-OH |
|
CAS No. |
86649-84-5 |
|
單字母序列 |
YSANSNPAMAPRERKAGCKNFFW KTFTSC |
|
三字母序列 |
Ser-Ala-Asn-Ser-Asn-Pro-Ala-Leu-Ala-Pro-Arg-Glu-Arg-Lys-Ala-Gly-Cys-Lys-Asn-Phe-Phe-D-Trp-Lys-Thr-Tyr-Thr-Ser-Cys (DISULFIDE BRIDGE CYS17-CYS28) | H-Ser-Ala-Asn-Ser-Asn-Pro-Ala-Leu-Ala-Pro-Arg-Glu-Arg-Lys-Ala-Gly-Cys-Lys-Asn-Phe-Phe-D-Trp-Lys-Thr-Tyr-Thr-Ser-Cys-OH |





南京肽業(yè)生物科技有限公司
地址:
Email: info@njpeptide.com
總機(jī):025-58361106-801
