Pep11803 | β-Endorphin (equine) | 79495-86-6
- 詳細(xì)描述
- 資料下載
Pep11803 | β-Endorphin (equine) | 79495-86-6
|
貨號(hào) |
Pep11803 |
|
名稱 |
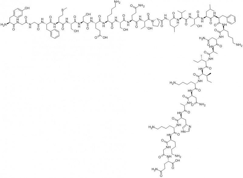
β-Endorphin (equine) |
|
中文其他名稱 |
|
|
英文其他名稱 |
BETA-ENDORPHIN (EQUINE);H-TYR-GLY-GLY-PHE-MET-SER-SER-GLU-LYS-SER-GLN-THR-PRO-LEU-VAL-THR-LEU-PHE-LYS-ASN-ALA-ILE-ILE-LYS-ASN-ALA-HIS-LYS-LYS-GLY-GLN-OH |
|
CAS NO. |
79495-86-6 |
|
單字母序列 |
YGGFMSSEKSQTPLVTLFKNAIIKNAHKKGQ |
|
三字母序列 |
Tyr-Gly-Gly-Phe-Met-Ser-Ser-Glu-Lys-Ser-Gln-Thr-Pro-Leu-Val-Thr-Leu-Phe-Lys-Asn-Ala-Ile-Ile-Lys-Asn-Ala-His-Lys-Lys-Gly-Gln | H-Tyr-Gly-Gly-Phe-Met-Ser-Ser-Glu-Lys-Ser-Gln-Thr-Pro-Leu-Val-Thr-Leu-Phe-Lys-Asn-Ala-Ile-Ile-Lys-Asn-Ala-His-Lys-Lys-Gly-Gln-OH |





南京肽業(yè)生物科技有限公司
地址:
Email: info@njpeptide.com
總機(jī):025-58361106-801
