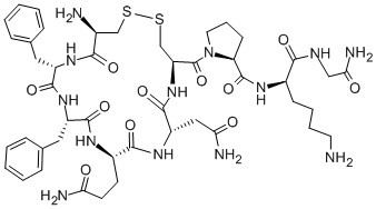
Pep00101 | 醋酸苯賴加壓素 | 56-59-7
- 詳細(xì)描述
- 資料下載
Pep00101 | 醋酸苯賴加壓素 | 56-59-7
|
中文名稱: |
苯賴加壓素 |
|
中文同義詞: |
苯賴加壓素;2-苯丙氨酸-8-賴氨酸加壓素;醋酸苯賴加壓素;苯賴加壓素 FELYPRESSIN |
|
英文名稱: |
Felypressin |
|
英文同義詞: |
FELYPRESSIN;H-CYS-PHE-PHE-GLN-ASN-CYS-PRO-LYS-GLY-NH2, CYS1,6, CYCLIC;[PHE2,LYS8]-VASOPRESSIN;2-L-Phenylalanine-8-L-lysine-vasopressin;N-[5-Amino-1-(carbamoylmethylcarbamoyl)pentyl]-1-[19-amino-13,16-dibenzyl-10-(2-carbamoylethyl)-7-(carbamoylmethyl)-6,9,12,15,18-pentaoxo-1,2-dithia-5,8,11,14,17-pentazacycloicosane-4-carbonyl]pyrrolidine-2-carboxamide;2-(phenylalanine)-8-lyine vasopression;Octapressin;Phelypressin |
|
CAS號(hào): |
56-59-7 |
|
分子式: |
C46H65N13O11S2 |
|
分子量: |
1040.22 |





南京肽業(yè)生物科技有限公司
地址:
Email: info@njpeptide.com
總機(jī):025-58361106-801
