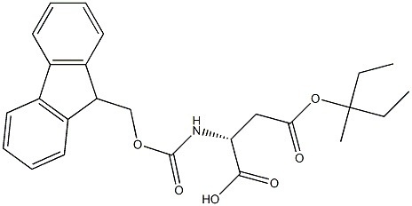
R41355|1926162-97-1|Fmoc-D-Asp(OMpe)-OH
- 詳細(xì)描述
- 資料下載
R41355|1926162-97-1|Fmoc-D-Asp(OMpe)-OH
|
中文名稱(chēng): |
FMOC-D-ASP(OMPE)-OH |
|
中文同義詞: |
|
|
英文名稱(chēng): |
FMOC-D-ASP(OMPE)-OH |
|
英文同義詞: |
(2R)-2-({[(9H-fluoren-9-yl)methoxy]carbonyl}amino)-4-[(3-methylpentan-3-yl)oxy]-4-oxobutanoic acid;FMOC-D-ASP(OMPE)-OH |
|
CAS號(hào): |
1926162-97-1 |
|
分子式: |
C25H29NO6 |
|
分子量: |
439.5 |





南京肽業(yè)生物科技有限公司
地址:
Email: info@njpeptide.com
總機(jī):025-58361106-801
