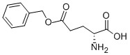
R31372|2578-33-8|H-D-Glu(OBzl)-OH
- 詳細(xì)描述
- 資料下載
R31372|2578-33-8|H-D-Glu(OBzl)-OH
|
中文名稱: |
D-谷氨酸-5-芐酯 |
|
中文同義詞: |
D-谷氨酸-5-芐酯;D-谷氨酸 5-苯甲酯; 5-苯甲基D-谷氨酸;5-苯甲基 D-谷氨酸, 98%+ |
|
英文名稱: |
H-D-Glu(OBzl)-OH |
|
英文同義詞: |
H-D-GLU(OBZL)-OH;D-GAMMA-BENZYL GLUTAMATE; D-GLUTAMIC ACID GAMMA-BENZYL ESTER; D-GLUTAMIC ACID(OBZL)-OH; D-Glutamic acid γ-benzyl ester;H-D-Glu(Bzl)-OH; D-GLUTAMIC ACID-Y-BENZYLESTER; H-D-Glu(OBzl)-OH D-GlutaMic acid γ-benzyl ester |
|
CAS號(hào): |
2578-33-8 |
|
分子式: |
C12H15NO4 |
|
分子量: |
237.25 |





南京肽業(yè)生物科技有限公司
地址:
Email: info@njpeptide.com
總機(jī):025-58361106-801
