R22105| 56488-60-9| Glutaurine
- 詳細(xì)描述
- 資料下載
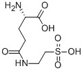
R22105| 56488-60-9| Glutaurine
|
中文名稱: |
磺乙谷酰胺 |
|
中文同義詞: |
磺乙谷酰胺 |
|
英文名稱: |
Glutaurine |
|
英文同義詞: |
Glutaurine;glutaurin;Litoralon; L-γ-Glutamyltaurine;Nδ-(2-Sulfoethyl)-L-glutamine; γ-Glutamyltaurine;γ-Glu-Tau |
|
CAS號(hào): |
56488-60-9 |
|
分子式: |
C7H14N2O6S |
|
分子量: |
254.262 |





南京肽業(yè)生物科技有限公司
地址:
Email: info@njpeptide.com
總機(jī):025-58361106-801
