Pep19278|β-Amyloid (25-35)|131602-53-4
- 詳細(xì)描述
- 資料下載
Pep19278|β-Amyloid (25-35)|131602-53-4
|
貨號(hào) |
Pep19278 |
|
中文名稱 |
β-Amyloid (25-35) |
|
中文其他名稱 |
BETA-淀粉樣蛋白片斷25-35; AC-ASN-TRP-CYS-LYS-ARG-GLY-ARG-LYS-GLN-CYS-LYS-THR-HIS-PRO-HIS-NH2: AC-NWCKRGRKQCKTHPH-NH2;Β-淀粉狀蛋白25-35; BETA-類淀粉蛋白肽(25-35) |
|
英文名稱 |
β-Amyloid (25-35) |
|
英文其他名稱 |
AMYLOID BETA-PEPTIDE (25-35) (HUMAN); AMYLOID BETA-PROTEIN FRAGMENT 25-35; AMYLOID BETA-PROTEIN (25-35); AMYLOID-BETA PROTEIN (25-35), HUMAN, MOUSE, RAT;AMYLOID BETA-PROTEIN (HUMAN, 25-35) TRIFLUOROACETATE; H-GLY-SER-ASN-LYS-GLY-ALA-ILE-ILE-GLY-LEU-MET-OH;GSNKGAIIGLM; GLY-SER-ASN-LYS-GLY-ALA-ILE-ILE-GLY-LEU-MET |
|
CAS No. |
131602-53-4 |
|
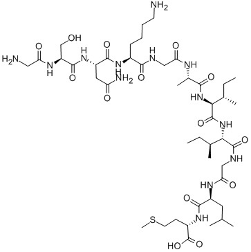
單字母序列 |
GSNKGAIIGLM |
|
三字母序列 |
Gly-Ser-Asn-Lys-Gly-Ala-Ile-Ile-Gly-Leu-Met | H-Gly-Ser-Asn-Lys-Gly-Ala-Ile-Ile-Gly-Leu-Met-OH |





南京肽業(yè)生物科技有限公司
地址:
Email: info@njpeptide.com
總機(jī):025-58361106-801
