Pep13339 | Phosphorylase Kinase β-Subunit Fragment (420-436) | 150829-21-3
- 詳細(xì)描述
- 資料下載
|
貨號(hào) |
Pep13339 |
|
名稱(chēng) |
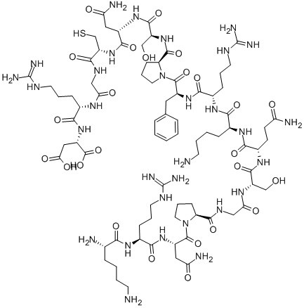
Phosphorylase Kinase β-Subunit Fragment (420-436) |
|
其他名稱(chēng) |
H-LYS-ARG-ASN-PRO-GLY-SER-GLN-LYS-ARG-PHE-PRO-SER-ASN-CYS-GLY-ARG-ASP-OH KRNPGSQKRFPSNCGRD LYS-ARG-ASN-PRO-GLY-SER-GLN-LYS-ARG-PHE-PRO-SER-ASN-CYS-GLY-ARG-ASP PHOSPHORYLASE KINASE BETA-SUBUNIT FRAGMENT (420-436) PHOSPHORYLASE KINASE B-SUBUNIT (420-436) Phosphorylase Kinase β-Subunit Fragment (420-436) Phosphorylase Kinase b-Subunit FragMent (420-436) |
|
CAS No. |
150829-21-3 |
|
單字母序列 |
KRNPGSQKRFPSNCGRD |
|
三字母序列 |
Lys-Arg-Asn-Pro-Gly-Ser-Gln-Lys-Arg-Phe-Pro-Ser-Asn-Cys-Gly-Arg-Asp | H-Lys-Arg-Asn-Pro-Gly-Ser-Gln-Lys-Arg-Phe-Pro-Ser-Asn-Cys-Gly-Arg-Asp-OH |
|
|





南京肽業(yè)生物科技有限公司
地址:
Email: info@njpeptide.com
總機(jī):025-58361106-801
