Pep04433 | Sarafotoxin C | 121695-87-2
- 詳細描述
- 資料下載
Pep04433 | Sarafotoxin C | 121695-87-2
|
貨號 |
Pep04433 |
|
名稱 |
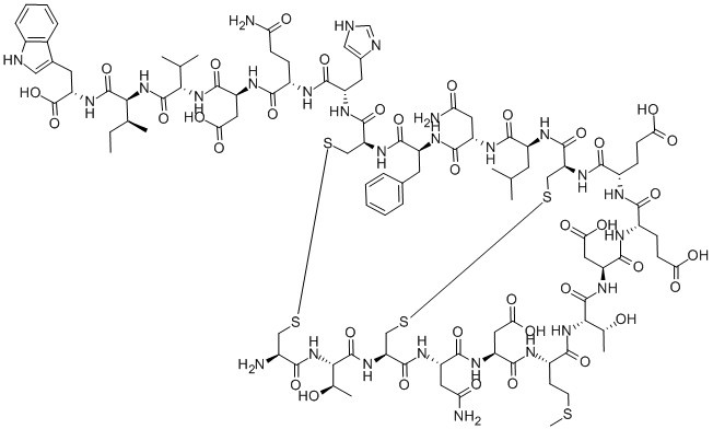
Sarafotoxin C |
|
中文其他名稱 |
|
|
英文其他名稱 |
SRTX-C;SARAFOTOXIN S6C;SARAFOTOXIN S6C (ATRACTASPIS ENGADDENSIS);SARAFOTOXIN S6C, ATRACTASPSIS ENGADDENSIS;SARAFOTOXIN 6C;SARAFOTOXIN C;SARAFOTOXIN C (ATRACTASPIS ENGADDENSIS);CYS-THR-CYS-ASN-ASP-MET-THR-ASP-GLU-GLU-CYS-LEU-ASN-PHE-CYS-HIS-GLN-ASP-VAL-ILE-TRP |
|
CAS No. |
121695-87-2 |
|
單字母序列 |
CTCNDMTDEECLNFCHQDVIW |
|
三字母序列 |
Cys-Thr-Cys-Asn-Asp-Met-Thr-Asp-Glu-Glu-Cys-Leu-Asn-Phe-Cys-His-Gln-Asp-Val-Ile-Trp | H-Cys-Thr-Cys-Asn-Asp-Met-Thr-Asp-Glu-Glu-Cys-Leu-Asn-Phe-Cys-His-Gln-Asp-Val-Ile-Trp-OH |





南京肽業(yè)生物科技有限公司
地址:
Email: info@njpeptide.com
總機:025-58361106-801
