Pep04432 | Sarafotoxin B | 120972-53-4
- 詳細描述
- 資料下載
Pep04432 | Sarafotoxin B | 120972-53-4
|
貨號 |
Pep04432 |
|
名稱 |
Sarafotoxin B |
|
中文其他名稱 |
|
|
英文其他名稱 |
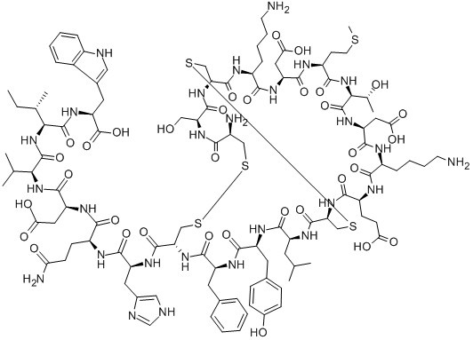
CSCKDMTDKECLYFCHQDVIW;CYS-SER-CYS-LYS-ASP-MET-THR-ASP-LYS-GLU-CYS-LEU-TYR-PHE-CYS-HIS-GLN-ASP-VAL-ILE-TRP;H-CYS-SER-CYS-LYS-ASP-MET-THR-ASP-LYS-GLU-CYS-LEU-TYR-PHE-CYS-HIS-GLN-ASP-VAL-ILE-TRP-OH;H-CYS-SER-CYS-LYS-ASP-MET-THR-ASP-LYS-GLU-CYS-LEU-TYR-PHE-CYS-HIS-GLN-ASP-VAL-ILE-TRP-OH-OH;SARAFOTOXIN S6B;SARAFOTOXIN S6B (ATRACTASPIS ENGADDENSIS);SARAFOTOXIN S6B ATRACTASPIS ENGADDENSIS SEQUENCE;SARAFOTOXIN B |
|
CAS No. |
120972-53-4 |
|
單字母序列 |
CSCKDMTDKECLYFCHQDVIW |
|
三字母序列 |
Cys-Ser-Cys-Lys-Asp-Met-Thr-Asp-Lys-Glu-Cys-Leu-Tyr-Phe-Cys-His-Gln-Asp-Val-Ile-Trp | H-Cys-Ser-Cys-Lys-Asp-Met-Thr-Asp-Lys-Glu-Cys-Leu-Tyr-Phe-Cys-His-Gln-Asp-Val-Ile-Trp-OH |





南京肽業(yè)生物科技有限公司
地址:
Email: info@njpeptide.com
總機:025-58361106-801
